สำรวจ |
แนะนำ |
สอบเข้า |
ออนไลน์ |
ครูสอนพิเศษ คุณภาพอันดับ1
Home » test » โจทย์คณิตศาสตร์เรื่องเลขยกกำลัง (ม.ต้น) พร้อมเฉลย
22 พฤศจิกายน 2561
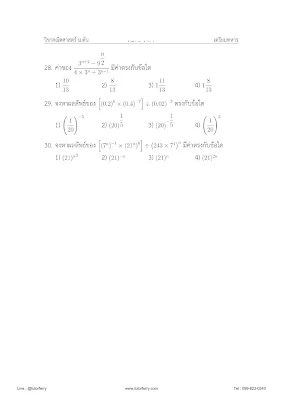
โจทย์คณิตศาสตร์เรื่องเลขยกกำลัง (ม.ต้น) พร้อมเฉลย
แนวข้อสอบวิชาคณิตศาสตร์ เรื่องเลขยกกำลัง (ม.ต้น) + เฉลย
22 พฤศจิกายน
เฉลยแนวข้อสอบ, แนวข้อสอบ, test
สมัครสมาชิก:
ส่งความคิดเห็น (Atom)











Total Rating ✔
9.2 stars – 2,789 reviews
More Reviews
อ่านรีวิว ทั้งหมดคลิก
แสดงความคิดเห็น
โจทย์คณิตศาสตร์เรื่องเลขยกกำลัง (ม.ต้น) พร้อมเฉลย
เฉลยแนวข้อสอบ, แนวข้อสอบ, test